【建模文章解讀】采用生理藥代動力學模型考察羥考酮的藥物相互作用DDI

摘 要
羥考酮是阿片類鎮痛藥物,在體內會產生具有藥理活性的代謝產物且具有較窄的治療窗。CYP3A4和CYP2D6是羥考酮形成代謝產物的主要代謝酶,抑制或誘導這兩種酶的活性,將顯著改變羥考酮及其代謝產物在體內的暴露量。
目的:期望采用GastroPlus軟件搭建和驗證羥考酮(母藥)、2個一級代謝產物(noroxycodone去甲羥考酮、oxymorphone羥氫嗎啡酮)、1個二級代謝產物(noroxymorphone去甲羥氫嗎啡酮)的PBPK模型。并進一步用該模型預測羥考酮聯合CYP3A4抑制劑(酮康唑、伊曲康唑及代謝產物)、CYP2D6抑制劑(奎尼丁)、CYP3A4誘導劑(利福平)給藥后的DDI。
方法:所建立的模型基于文獻、內部實驗以及計算機預測的數據,并用文獻報道的單獨給藥的臨床PK數據對模型進行驗證和優化;模型進一步用于羥考酮聯合給藥后的DDI預測。
結果:與觀測值相比,DDI模型預測的AUC誤差分別為:羥考酮-1.5倍;去甲羥考酮-1.8倍;羥氫嗎啡酮-1.3到4.5倍;去甲羥氫嗎啡酮-1.4到4.5倍(案例解讀者建議:可進行群體DDIs的評估,以分析群體變異對DDI結果的影響,并和不同臨床的結果進行比較)。
結論:該工作說明PBPK模型可用于預測母藥及多個代謝產物與調節劑perpetrator聯合給藥后的DDI;雖然和單獨評估母藥的DDI相比,預測代謝產物DDI的準確性較低;但該案例提供了一種方法,即可評估母藥與多種代謝產物,與CYP3A4(伊曲康唑有多個代謝產物)和CYP2D6調節劑合并用藥后的DDI風險。

原文獻作者
Jaana Rytk?nen, Veli-Pekka Ranta, Merja Kokki, Hannu Kokki, Heidi Hautaj?rvi, Valtteri Rinne, Aki T. Heikkinen
1 芬蘭Admescope Ltd
2 東芬蘭大學藥學院(芬蘭)
3 芬蘭庫奧皮奧大學附屬醫院,麻醉和重癥監護中心
4 東芬蘭大學醫學院(芬蘭)
參考文獻
Jaana Rytk?nen, Veli-Pekka Ranta, Merja Kokki, et al., Physiologically based pharmacokinetic modelling of oxycodone drug–drug interactions. Biopharm Drug Dispos. 2020; 41: 72-88. IF: 1.611
推薦理由
本案例搭建及驗證了羥考酮、2個一級代謝產物(去甲羥考酮與羥氫嗎啡酮)、1個二級代謝產物(去甲羥氫嗎啡酮)的PBPK模型,是學習母藥及其代謝產物PBPK建模的參考資料;基于建立的底物PBPK模型,進一步考察聯合不同類型的調節劑(CYP3A4抑制劑、CYP3A4誘導劑、CYP2D6抑制劑)給藥后的DDI預測,因此是基于PBPK建模評估DDI的學習資料;此外,還能了解如何評估羥考酮及其活性代謝產物(3個)與伊曲康唑及其活性代謝產物(3個)復雜聯合用藥后的DDI。
1. 研究背景
藥物-藥物相互作用(DDI, Drug-drug interactions)會引起不良事件或導致療效降低,是藥物治療常見的問題之一, 我國每年藥物所致嚴重不良反應約250 萬例,藥物導致的死亡約20 萬例。
在藥物發現和開發過程,預測和洞見在研新藥IND臨床用藥時的潛在藥物相互作用DDI非常重要,因為DDIs可能會導致嚴重不良反應或治療效果的降低。近年來,采用基于生理的藥代動力學PBPK建模以評估和預測DDIs的方法日趨成熟,提交到法規部門的PBPK模型(指導給藥方案以避免DDIs)也日漸增多。
PBPK模型的優勢是可以解釋復雜DDI的情形,整合多種機理或化合物進行DDI的風險評估。此外,如代謝產物對DDIs也有貢獻或者具有藥理學活性,也常整合到PBPK模型中,以預測共同作用后DDIs的結果。此外,PBPK模型還可以考慮更多的因素對DDIs的貢獻,比如疾病狀態、年齡等。
羥考酮是阿片類受體激動劑,用于急慢性的鎮痛。羥考酮主要經肝臟代謝清除,主要的代謝酶為CYP酶;主要的一級代謝產物去甲羥考酮經CYP3A4代謝產生,另一個一級代謝產物(羥氫嗎啡酮)則經CYP2D6作用產生,其它亞型酶的貢獻可以忽略不計。
二級代謝產物(去甲羥氫嗎啡酮)主要是去甲羥考酮被CYP2D6代謝產生,而羥氫嗎啡酮到去甲羥氫嗎啡酮的轉化可以忽略不計。由于羥考酮及其代謝產物主要經CYP3A4和CYP2D6代謝清除,因此推測羥考酮和這些酶的調節劑聯合服用后會產生較為明顯的DDIs。而文獻也有報道羥考酮聯合用藥,發現其體內暴露會升高2倍以上或下降50%,這將分別增強或減弱其藥理活性。羥考酮的三個主要代謝產物都具有藥理活性,目前通常認為該藥物的活性主要來自羥考酮的藥理活性,不過也有報道給藥后可以達到羥氫嗎啡酮的藥理學相對濃度。
本案例的目的是期望采用GastroPlus軟件建立和驗證可預測羥考酮及其兩個一級代謝產物、一個二級代謝的血藥濃度-時間曲線的PBPK模型。并進一步用該模型預測羥考酮聯合CYP3A4抑制劑(酮康唑、伊曲康唑)、CYP2D6抑制劑(奎尼丁)、CYP3A4誘導劑(利福平)給藥后的DDI。
2. 建模數據與處理
2.1 羥考酮PBPK及DDI建模的相關參數
表1 羥考酮及其三個代謝產物的藥物相關性質參數

表2 PBPK模型中羥考酮及其代謝產物的主要代謝參數

表3 DDI模擬中調節劑的抑制或誘導參數

2.2 數據獲取及處理
2.2.1 基本建模參數的處理
輸入到羥考酮PBPK模型的參數主要來自文獻、及內部開展的體外數據(補充了Caco-2滲透性實驗測定羥考酮的表觀滲透性,以支持描述其胃腸道吸收特征)。如果文獻中未報到相關的實驗數據,還采用ADMET Predictor軟件基于藥物的結構式預測得到;如果可以找到某個參數的多個報道數值,則將算術平均值輸入到模型中。羥考酮體內代謝的參數(Km, Vmax)通過體外數據轉化而來,而代謝產物的體內數據則通過匹配臨床平均PK數據優化得到。調節劑的抑制常數和誘導常數來自文獻,伊曲康唑的三個代謝產物對CYP3A4的抑制特性也納入到DDI模型中。模型的預測能力,通過文獻報道的臨床數據進行優化和驗證??偣策x擇了17個臨床研究(包括9個靜脈給藥、11個口服給藥)的PK結果,以對比預測和觀測的PK參數(如AUC, Vss, CL, Cmax, Tmax, F)、PK曲線的一致性。
2.2.2 口服吸收的預測
羥考酮的吸收過程采用GastroPlus內建的高級房室吸收與轉運(ACAT)模型進行預測。文獻報道羥考酮的溶解度在pH小于9.5時大于0.5 mg/mL,且溶解度對模型的預測能力也不敏感,因此不需進一步考察溶解度輸入數值的準確性。
假設藥物顆粒的粒徑為25 μm并基于Johnson模型預測羥考酮的體內溶出行為;由于在溶液劑和膠囊劑中,未發現藥物生物利用度和吸收速率的差異,預期溶出速率不是影響羥考酮吸收的限速步驟,因此未詳細評估藥物溶出速率的預測準確性。假設羥考酮經被動跨細胞擴散的方式通過胃腸壁,通過體外Caco-2細胞實驗測定藥物的表觀滲透性并轉為空腸的有效滲透性;采用Opt logD Model SA/V 6.1模型計算各個腸段的有效滲透性,該模型會考慮各個腸段pH、吸收面積的變化等。胃腸道模型選擇ACAT默認的人體空腹狀態,相關生理學參數未做調整,胃轉運時間設定為0.25 h。
2.2.3 組織分布的計算
羥考酮的組織分布假設為血流限速型,并認為各個組織都為充分攪拌模型。設置為血流限速型組織是經過充分考慮的,主要為這種類型可以很好地吻合羥考酮血漿濃度-時間曲線,此外無論體內吸收還是體外Caco-2滲透性數據都表明羥考酮不是滲透性限速的藥物。去甲羥考酮、羥氫嗎啡酮、去甲羥氫嗎啡酮也同樣設為血流限速型組織分布,并認為是充分攪拌模型。雖然此前有報道羥考酮是以主動攝取轉運的方式通過血腦屏障,提示其可能為P-gp的底物;但由于臨床PK并沒有明顯的主動轉運現象,且采用假設的血流限速型組織可以很好地表征羥考酮血漿PK行為,因此當前模型忽略主動轉運對羥考酮血漿PK的貢獻。采用GastroPlus內建的Lukacova公式計算組織分配系數(Kp),每一個模擬對象的生理學數據都采用內建的年齡相關的群體估算功能(PEAR)自動產生。組織游離分數(fu,t)采用GastroPlus默認的公式進行計算,該模型公式認為細胞外和細胞內空間非離子型游離濃度處于平衡狀態。
2.2.4 代謝和清除的過程
下圖顯示了羥考酮以及代謝產物的體內轉化過程。羥考酮通過CYP2D6和CYP3A4代謝成羥氫嗎啡酮和去甲羥考酮;去甲羥考酮又進一步經CYP2D6代謝成去甲羥氫嗎啡酮,其中忽略不計羥氫嗎啡酮代謝生成去甲羥氫嗎啡酮。羥氫嗎啡酮的代謝主要經UGT2B7介導,并以葡萄糖醛酸產物經尿液排泄。由于缺少去甲羥氫嗎啡酮更為細致的代謝數據,因此假設其通過肝臟微粒體代謝清除。此外,這四個化合物均考慮了腎臟排泄的清除。

圖1 PBPK模型中羥考酮及其代謝產物的清除機制
GastroPlus的人體生理學模型包含了CYP3A4, CYP2D6和UGT2B7在腸道及肝臟中的表達,此外UGT2B7還表達在腎臟中?;诩僭O每個組織具有相同的Vmax (per amount enzyme)和Km,u,并結合相應的酶分布水平,以計算這些酶在每個組織的具體Vmax。羥考酮的代謝數值是通過體外人微粒體的Vmax和Km,u數值進行轉化得到的;對于羥考酮的代謝產物,設置了非飽和的Km數值(20 mg/L),Vmax數值則是通過匹配三組臨床研究報道的代謝產物與母藥AUC比例進行手動優化得到(該優化分為兩步:首先是重現一級代謝產物的觀測值;然后吻合二級代謝產物的結果)。
羥考酮的腎臟清除率(CLR)通過腎小球濾過率(GFR)*fup的方式計算得到;代謝產物的CLR則是來自口服15 mg羥考酮的臨床尿排泄數據。
2.2.5 DDI模擬及調節劑模型的驗證
驗證后的羥考酮PBPK模型進一步開展DDI的研究:模型納入了可逆CYP酶抑制劑-奎尼丁(CYP2D6),酮康唑(CYP3A4)和伊曲康唑 (CYP3A4)以及一個CYP3A4誘導劑-利福平;同時追蹤羥考酮的代謝產物,以考察這些調節劑的影響。DDI模擬的方案設計如下表:
表4 DDI模擬的方案設計

胃腸道模型基本設置為空腹狀態(伊曲康唑的部分模型為餐后狀態)。為了評估腸道代謝對DDI結果的貢獻,分別考察了酮康唑和利福平對存在或沒有腸壁代謝的羥考酮的DDI作用。采用蒙特卡洛模擬分析了CYP3A和CYP2D6的肝臟代謝貢獻對羥考酮與酮康唑或奎尼丁DDI結果的敏感性:虛擬了30個個體,其肝臟CYP3A4和CYP2D6分布的CV介于119%和61%之間,并保持其它參數固定不變;不過這兩個參數更多表征群體的變異,并未考慮CYP2D6的基因多態性。
對GastroPlus內建的酮康唑、奎尼丁、利福平模型不做任何調整,并用在羥考酮臨床DDI試驗中相同劑量水平的PK數據驗證了這些調節劑的預測能力。模型預測的AUC、Cmax和t1/2等PK參數,與文獻分別報道的酮康唑、奎尼丁、利福平臨床結果較為接近,表明這些藥物的內置模型具有較準確的預測性。對內建的伊曲康唑模型優化了沉淀模型,以匹配臨床報道的伊曲康唑暴露:假設為非機制性的一級沉淀模型,并優化了伊曲康唑的沉淀時間。
3. 模型結果與分析
3.1 羥考酮及其代謝產物PBPK的搭建與驗證
下圖模擬的結果表明,預測與觀測的AUCs,血漿中羥考酮的濃度曲線都在觀測值的標準誤差范圍內;不過羥考酮的代謝產物預測結果與觀測血藥濃度-時間曲線相比要誤差稍大一些。靜脈給藥后預測羥考酮的AUC在觀測值的1.6倍誤差內;所預測的羥考酮Vss和CL范圍分別為174–285 L和29–66 L/h,而臨床觀測結果的范圍分別為135–307 L和30–44 L/h??诜o藥后預測羥考酮的AUC和Cmax相對觀測值的誤差分別為1.5和1.4倍;預測口服生物利用度的范圍為39–48%,觀測結果為55–69%;預測代謝產物的AUC及78%的Cmax相對靜脈給藥后觀測結果的誤差在2倍以內;口服給藥后,86%的AUC和90%的Cmax在觀測值的2倍誤差范圍內。

圖2 靜脈(a)及口服(b)給藥后,羥考酮及其代謝產物的觀測與預測血藥濃度-時間曲線

圖3 靜脈及口服給藥后,羥考酮及其代謝產物觀測與預測的AUC與Cmax (黑色及灰色虛線分別代表2倍與5倍的誤差線,黑色實線代表完全一致的情況)
表5 靜脈及口服給藥后,羥考酮觀測與預測的PK參數

3.2 優化伊曲康唑的模型
優化伊曲康唑的PK模型并使其沒有沉淀的現象(沉淀時間設定為1 000 000 s),模擬結果見下圖。與觀測結果相比,預測伊曲康唑AUC和Ctrough的誤差分別為1.7和1.5倍。

圖4 口服200 mg伊曲康唑聯合口服或靜脈給藥羥考酮后的觀測與預測的血藥濃度-時間曲線(觀測結果來自臨床試驗的報道,伊曲康唑78小時處峰濃度的改變是因為胃腸道生理由空腹變為了餐后)
3.3 DDI模擬
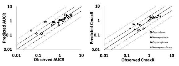
下圖為羥考酮與酮康唑、伊曲康唑、奎尼丁及利福平聯合給藥后的DDI模擬結果,提示采用羥考酮PBPK模型能很好地預測其AUCs的變化;代謝產物預測的PK曲線與觀測數值也基本在一條直線上。所有預測的羥考酮以及去甲羥考酮AUCR和CmaxR都在觀測結果的2倍誤差范圍內;對于羥氫嗎啡酮和去甲羥氫嗎啡酮,AUCR的2倍誤差比例分別為83%和50%,CmaxR的2倍誤差比例分別為83%和33%;除了利福平與靜脈注射羥考酮的DDI預測外(羥氫嗎啡酮的AUCR為4.5倍),所有調節劑對羥氫嗎啡酮暴露影響(AUCR和CmaxR)的預測結果都在2倍誤差范圍內;去甲羥氫嗎啡酮AUCR的預測誤差范圍為?1.09 – 4.5。

圖5 羥考酮聯合或無調節劑給藥后,觀測與預測的羥考酮及其代謝產物血藥濃度-時間曲線

圖6 DDI模擬中觀測與預測的AUCR和Cmax R (黑色及灰色虛線分別代表2倍與5倍的誤差線,黑色實線代表完全一致的情況)
表6 DDI模擬中預測與觀測AUCR和CmaxR的誤差

模型還進一步探索了有無腸壁代謝時對預測口服羥考酮DDI的影響:羥考酮和酮康唑聯合給藥后,存在或沒有腸壁代謝時,預測的F%分別為81%和78%;預測的羥考酮CmaxR分別為1.96和1.59倍;AUCR分別為2.6和2.0倍。在聯合利福平給藥后,預測的F%分別為11%和22%;預測的羥考酮CmaxR分別為0.21和0.31倍;AUCR分別為0.13和0.21倍。
采用蒙特卡洛模擬分析了肝臟中CYP3A和CYP2D6的分布對羥考酮與酮康唑或奎尼丁DDI結果的敏感性:羥考酮聯合酮康唑、奎尼丁給藥后,預測的羥考酮、去甲羥考酮和去甲羥氫嗎啡酮AUCR范圍均涵蓋了觀測AUCR;羥氫嗎啡酮平均觀測AUCR稍超出預測范圍,結果見下表:
表7 蒙特卡洛模擬分析肝臟中CYP3A和CYP2D6的分布對羥考酮與酮康唑或奎尼丁DDI結果的敏感性

4. 模型討論
該研究搭建和驗證了羥考酮及其三個主要代謝產物(去甲羥考酮、羥氫嗎啡酮、去甲羥氫嗎啡酮)的PBPK模型:和臨床觀測數據相比,靜脈或口服給藥后(無DDI時)預測羥考酮及其代謝產物暴露大部分(90%的AUC和Cmax)都在2倍誤差范圍內。模型進一步用于評估了羥考酮聯合CYP2D6可逆抑制劑-奎尼丁、CYP3A4抑制劑-酮康唑和伊曲康唑、CYP3A4誘導劑-利福平給藥后的DDI:模型預測羥考酮以及其代謝產物的83% AUCR和77% CmaxR都在觀測結果的2倍誤差范圍內,說明假設的羥考酮到其代謝產物的路徑以及所用的模型參數都較為合理;還進一步選擇酮康唑和利福平,考察了有無腸壁代謝對預測口服羥考酮DDI的影響,表明羥考酮的腸壁代謝對其DDI的影響較弱。
結果提示相比單獨評估母藥的DDI,加入追蹤代謝產物后預測結果具有較大的不確定性:這可能是因為母藥到一級代謝產物、以及一級產物到二級代謝產物追蹤的不確定與不準確性;此外當前模型沒有納入形成代謝產物的其它消除途徑,這也可能使得代謝產物的預測結果有一定不確定性。當然由于CYP2D6基因多態性的影響,也使得臨床代謝產物的觀測結果具有較大的個體內、個體間變異。通過群體DDI的模擬,可以考察模型參數在一定范圍內變化時的群體PK變異;此外,敏感性分析結果也說明肝臟CYP3A4和CYP2D6豐度會敏感影響羥考酮DDI的結果。
此外,準確的DDI參數和良好的調節劑的模型對于獲得更準確的DDI結果也至關重要。該工作收集了文獻報道的DDI參數,并對不同來源的數據進行了準確性比較;當前模型僅考慮了CYP酶介導的DDIs,忽略了UGT2B7的作用(因為在臨床濃度下,UGT2B7相比CYP的作用較弱)。雖然可直接使用軟件內建的調節劑模型,甚至軟件開發者還驗證了這些模型,但是使用者還是有必要確保在特定預測條件下模型具有較合適的表現。由于DDI模型中使用了預測的代謝位點處游離的調節劑濃度(實際中較難測定),因此該工作采用了文獻報道的相同劑量水平下,對模型內建的調節劑(奎尼丁、酮康唑、利福平)的血漿AUC、Cmax、半衰期等PK參數與觀測值進行了準確性比較。優化了伊曲康唑的模型(延長沉淀時間,假設體內不產生沉淀),因為內建模型不能與羥考酮DDI試驗中報道的結果相吻合。為了評估伊曲康唑的代謝產物對DDI模擬結果的貢獻,模型還評估了納入三個代謝產物以僅使用一級代謝產物的預測表現:結果顯示包含三個代謝產物的模擬結果,對預測羥考酮與伊曲康唑的DDI更準確。
FDA和EMA目前都鼓勵申辦方使用PBPK模型,評估新化合物的代謝產物對DDIs的貢獻。當越來越多的應用案例進行報道,以及在不同平臺測試DDI的預測結果,這種納入代謝產物的PBPK建模以預測DDI的預測信心才會逐漸加強。雖然之前有報道采用SimCYP軟件搭建羥考酮(包含兩個一級代謝產物:去甲羥考酮和羥氫嗎啡酮)PBPK模型,但當前采用GastroPlus軟件還可以進一步建立二級代謝產物(去甲羥氫嗎啡酮)的PBPK模型。羥考酮和伊曲康唑的模型非常有效地展示了PBPK模型對包含復雜行為的DDIs預測能力,因為該模型包含了兩個母藥,同時還納入了6個代謝產物。由于代謝產物形成及處置具有較復雜的途徑,這使得整合代謝產物到PBPK模型具有一定的挑戰性,但PBPK模型依然被認為研究和理解預測整合代謝產物的DDIs的一種有用工具。
5. 總結
該工作采用GastroPlus軟件搭建了羥考酮及其主要代謝產物(去甲羥考酮、羥氫嗎啡酮、去甲羥氫嗎啡酮)的PBPK模型,可很好地重合文獻報道的靜脈或口服給藥后的PK數據;接著,模型進一步用于評估羥考酮與CYP2D6可逆抑制劑-奎尼丁、CYP3A4抑制劑-酮康唑和伊曲康唑、CYP3A4誘導劑-利福平聯合給藥后的DDI情況。
該工作展示了如何搭建母藥及代謝產物追蹤的PBPK模型(特別是形成代謝產物的體外數據不齊全的情況),此外還展現了PBPK模型對底物與調節劑(可以包含一系列代謝產物)聯合給藥后DDIs的預測能力。所建立的羥考酮及其代謝產物的PBPK模型還可進一步用于預測其他人群(如兒童、器官損傷等)的臨床PK以及DDIs (與其它CYP2D6和CYP3A4的調節劑聯合給藥)。
但模型包含代謝產物后,與單獨母藥的DDIs預測結果相比,其模型的復雜程度升高了,其預測結果的準確性降低了,因此在這解釋與使用這種復雜模型的DDI預測結果時,需綜合衡量利弊。
6. 應用軟件與模塊
該案例應用的軟件是GastroPlus (version 9.5.0004),涉及模塊有Base, PBPK, PKPlus, Metabolism & Transporter, DDI;ADMET Predictor (version 7.2.0.0),涉及模塊有PhysChem, Metabolism。